Fentanilo: ¿qué sabemos de su producción en México?

Fecha:

Comparte:

EN CORTO

  • Tras la publicación del reportaje “Así es un laboratorio de fentanilo del Cártel de Sinaloa” del New York Times, el director general del IMSS-BIENESTAR, Alejandro Svarch Pérez respondió que es imposible fabricar fentanilo en cocinas domésticas.
  • La presidenta Claudia Sheinbaum también declaró que “no se han encontrado” laboratorios de fentanilo en el país.
  • Sin embargo, investigaciones de medios de comunicación, así como instituciones nacionales e internacionales dan cuenta de laboratorios que producen fentanilo sin equipo profesional.
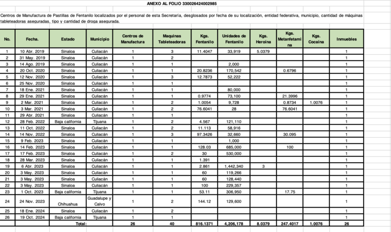
  • De 2019 a 2024, la SEDENA ha reportado al menos 26 laboratorios de fentanilo localizados en espacios tanto al aire libre como al interior de domicilios. 

Por Debanhi Soto y Melina Barbosa

Durante la mañanera del 2 de enero, el director general del IMSS-BIENESTAR, Alejandro Svarch Pérez, afirmó que “no es posible hacer fentanilo como lo referido en el reportaje titulado “Así es un laboratorio de fentanilo del Cártel de Sinaloa” publicado por el New York Times el pasado 29 de diciembre de 2024.

“Esto explica que inexorablemente se necesite un laboratorio donde se puedan controlar las condiciones de exposición, donde existan equipos especializados para realizar la síntesis química y con sistemas de ventilación profesionales; no una cocina doméstica, como muestra el reportaje”, argumentó Svarch.

Pero la Secretaría de la Defensa Nacional (SEDENA) y la Guardia Nacional sí han reportado la localización de laboratorios clandestinos para sintetizar drogas. 

En comunicados oficiales incluyen fotografías de laboratorios que fueron instalados al aire libre y otros al interior de inmuebles, en varios casos, los laboratorios no contaban con equipos de ventilación profesional o sistemas para controlar las condiciones de exposición a las preparaciones.

SEDENA reporta 26 laboratorios de fentanilo

De igual manera, la presidenta Claudia Sheinbaum declaró en la mañanera del 7 de enero que “no se ha encontrado” producción de fentanilo en México. 

“Hasta ahora el hecho que lleguen precursores de Asia, porque la mayor parte de los precursores vienen de Asia, y que se fabrique aquí en México todo el proceso (para hacer fentanilo), no se ha encontrado” dijo la presidenta en su conferencia de prensa matutina.

Datos de la SEDENA indican que desde 2019 se han localizado más de 2 mil laboratorios clandestinos para producir drogas sintéticas, de los cuales, al menos 26 se especializaban en preparar fentanilo.

Te Conviene Leer: Falso que fentanilo no se produce en México, como dijo López Gatell

Animal Político expuso que 22 de estos laboratorios fueron localizados en Culiacán, Sinaloa y el resto de las “cocinas” se encontraron en otras ciudades como Tijuana, Baja California; y Guadalupe y Calvo, Chihuahua.

Captura de pantalla 2025 01 06 a las 5.55.51 p.m
Respuesta a la solicitud de transparencia con folio 330026424002985

Otras investigaciones de medios de comunicación tanto extranjeros como nacionales han confirmado que es posible sintetizar fentanilo en laboratorios caseros

Reuters, por ejemplo, publicó en julio de 2024 una investigación que expone que la industria ilícita de los opioides sintéticos se basa en una química sorprendentemente simple y a los “cocineros”, les toma menos de un día producir droga en laboratorios instalados al aire libre en zonas rurales o ventilados dentro de apartamentos y casas.

El reportaje explica que el fentanilo es una droga sintética, es decir, no se crea a partir de plantas como la marihuana o la cocaína, sino que se crea completamente a partir de sustancias químicas.

El fentanilo se puede fabricar fácilmente utilizando compuestos conocidos como “precursores”, que son componentes básicos creados a partir de sustancias químicas industriales comunes. 

​​Un alto funcionario de la administración estadounidense incluso comparó el uso de precursores con utilizar “masa de brownie premezclada” en lugar de intentar preparar la masa desde cero.

Método Gupta, el método más sencillo para producir fentanilo

La Oficina de las Naciones Unidas contra la Droga y el Delito (UNODC) publicó un reporte en 2020 que explica el proceso de fabricación del fentanilo. Según la UNODC, para elaborar la droga es necesario contar con un precursor químico, ya sea el norfentanilo o el 4-anilino-N-fenetilpiperdina (ANPP). 

Sin embargo, ambas sustancias están fuertemente reguladas por las autoridades de seguridad nacionales e internacionales, por lo que, para producir fentanilo los cárteles deben recurrir a los preprecursores, sustancias cuyo uso aún no está muy controlado o que tienen un doble uso y pueden moverse más fácilmente.

De acuerdo con la investigación de InSight Crime, fundación dedicada a investigar el crimen organizado, debido a su simpleza, el método más utilizado para producir fentanilo ilícito es el método Gupta, mediante el cual es posible obtener ANPP en dos pasos usando un solo recipiente, por lo que también es conocido como “el método de la olla”.

El método Gupta es particularmente importante en México donde los químicos rudimentarios (“cocineros”) hacen ANPP a partir de preprecursores como el 4-anilinopiperidina (4AP) y producen fentanilo o análogos (es decir sustancias con una estructura química y efectos similares a los del fentanilo pero no iguales) en laboratorios clandestinos.

Gráfico tomado de la UNODC sobre los métodos para producir fentanilo
Gráfico tomado de la UNODC sobre los métodos para producir fentanilo

LINKS | FUENTES:

¿Qué hacemos en verificado?

Somos un medio de comunicación especializado en el Fact Checking o verificación de hechos; se refiere a la labor de confirmar y comprobar hechos y datos.

━ Recomendado

Persecución de migrantes en sedes mexicanas del Mundial

Por Melina Barbosa Previo al pitazo inicial del Mundial de Futbol 2026, organizaciones defensoras de derechos humanos y la ciudadanía han denunciado el recrudecimiento de...

Falso que NOAA advirtió el fenómeno de “El Niño” más potente desde 1877

Por Diana Soto El Centro de Predicción Climática de la Oficina Nacional de Administración Oceánica y Atmosférica (NOAA, por sus sigla en inglés) en Estados...

Nuevo León llega al Mundial 2026 con riesgo de apagones

Por Debanhi Soto De cara a la Copa Mundial de la FIFA 2026, Nuevo León podría enfrentar un verano particularmente desafiante. El Servicio Meteorológico Nacional...

Falso que Departamento del Tesoro está investigando a un «narcobanco» mexicano por lavado de dinero

EN CORTO Una publicación viral en X de la cuenta del despacho León Barrena Rodríguez & Partners LLP aseguró, sin presentar pruebas, que el...

Falso que la CIA fue expuesta por ocultar un cura para el cáncer durante 60 años

Por Melina Barbosa Circulan en redes sociales mensajes que anuncian que "LA CIA ACABA DE SER EXPUESTA POR HABER OCULTADO UNA CURA PARA EL C4NCER...