Por Michell García
Por medio de redes sociales, nuevamente se volvieron virales publicaciones donde se aseguraba que la Clave Única de Registro de Población (CURP) del ex presidente Enrique Peña Nieto, incluía la palabra «PENE», al formar la clave con las iniciales del ex mandatario.
“Si están teniendo un mal día, recuerden que Enrique Peña Nieto no puede dar su CURP sin que se rían de él”, dice un post de Facebook realizado en 2019, acompañado de una fotografía de la credencial de elector de Peña Nieto. En otros casos de compartieron tuits publicados desde 2012.
Esto se volvió tendencia nuevamente en Twitter debido a que dieron a conocer como descargar un CURP certificado por el Registro Civil, por lo que internautas aprovecharon para publicar nuevamente el de EPN.

Sin embargo, la información que asegura que la clave poblacionar del ex mandatario inicia con PENE, es falsa; el CURP correcta es PXNE660720HMCXTN06.
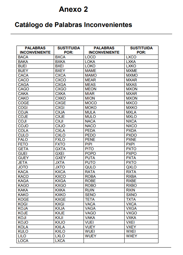
¿Por qué contiene una «X»? En los criterios de construcción del CURP, se evita la formación de palabras altisonantes o curiosas, sustituyendo algunas de las letras por X.
La Secretaría de Gobernación para ello cuenta con un Instructivo Normativo para la Asignación de la Clave Única de Registro de Población, en el que explica, entre otros parámetros, cómo evitar este tipo de palabras.
“Si de las cuatro letras resulta una palabra altisonante (Ver ANEXO 2). La segunda letra ser· sustituida por una ‘X’. Ejemplo: OFELIA PEDRERO DOMINGUEZ: PXDO”, explica el documento.
Además incluye un listado de palabras consideradas «altisonantes» y sus sustituciones.

Lo anterior también es tomado en cuenta en el Registro Federal de Contribuyentes (RFC), de acuerdo a un documento de Realce Valor en donde indican las reglas para formarlo.
“Cuando las cuatro letras del RFC, lleguen a formar una palabra inconveniente altisonante u ofensiva, se sustituirá la ultima letra con una X”, detalla el pdf.

